
Різниця кубів: глибокий аналіз математичного поняття
Різниця кубів – це математичне поняття, яке вивчають в алгебрі, і яке має безліч застосувань у різних сферах науки та техніки. У цій статті ми розглянемо основні аспекти різниці кубів, механізм їх розкладу на множники та практичні приклади використання.
Основи алгебраїчного розкладу
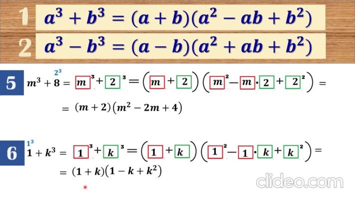
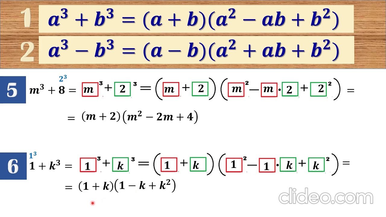
Різниця кубів, як і інші алгебраїчні вирази, може бути перетворена в більш просту форму шляхом розкладу на множники. Для цього використовують добре відому формулу:
a3 – b3 = (a – b)(a2 + ab + b2)
Ця формула дозволяє спростити складні вирази та обчислення, зменшивши їх до більш зрозумілого вигляду.
Чому працює формула різниці кубів?
Щоб зрозуміти, чому ця формула є правильною, давайте розглянемо детальний розподіл виразу.
- Термін (a – b) відповідає різниці початкових основ кубів.
- Другий множник (a2 + ab + b2) представляє собою квадратний поліном, який доповнює початкову різницю кубів.
Це можна продемонструвати розкриттям дужок:
- (a – b)(a2 + ab + b2) = a(a2 + ab + b2) – b(a2 + ab + b2)
- = a3 + a2b + ab2 – (b*a2 + b2a + b3)
- = a3 – b3, що доводить рівність.
Практичне застосування різниці кубів
Використання різниці кубів в реальних умовах може бути різноманітним. Це включає роботу з тривимірними об’єктами, де можливі визначення об’ємів різних форм. Крім того, ця концепція важлива в розв’язанні більш складних рівнянь та у вивченні властивостей поліномів.
Таблиця: Порівняння різниці кубів з іншими формулами
| Формула | Вираз | Пояснення |
|---|---|---|
| Сума кубів | a3 + b3 = (a + b)(a2 – ab + b2) | Схожа на формулу різниці кубів, але для суми |
| Квадрат різниці | (a – b)2 = a2 – 2ab + b2 | Формула для квадрата віднімання двох чисел |
Можна підсумувати, що різниця кубів є важливою математичною концепцією, що забезпечує можливості для розкладу поліномів і спрощення складних математичних виразів. Використання цієї формули значно полегшує аналітичні обчислення в алгебрі та геометрії, і також знаходить своє застосування в інших наукових дисциплінах. Різниця кубів – це не просто формула, а ключ до розуміння багатьох взаємодій у світі математики.






